- Home
- 1159908-44-7
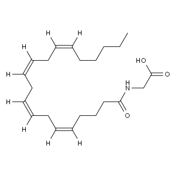
- Arachidonoyl Glycine-d8,99%
Arachidonoyl Glycine-d8,99%
(The order shall be subject to the English name)
Name:
Arachidonoyl Glycine-d8
CAS No.:
1159908-44-7
Molecular formula:
C22H35NO3
Molecular weight:
361.52
Preservation conditions:
-20°C
InChIKey:
YLEARPUNMCCKMP-FBFLGLDDSA-N
InChI:
InChI=1S/C22H35NO3/c1-2-3-4-5-6-7-8-9-10-11-12-13-14-15-16-17-18-19-21(24)23-20-22(25)26/h6-7,9-10,12-13,15-16H,2-5,8,11,14,17-20H2,1H3,(H,23,24)(H,25,26)/b7-6-,10-9-,13-12-,16-15-/i6D,7D,9D,10D,12D,13D,15D,16D
Pubchem ID:
Grade of hazardous chemicals:
For detailed properties of compounds, click“1159908-44-7”
technical information
History browsing record




