Guess you like
Name:
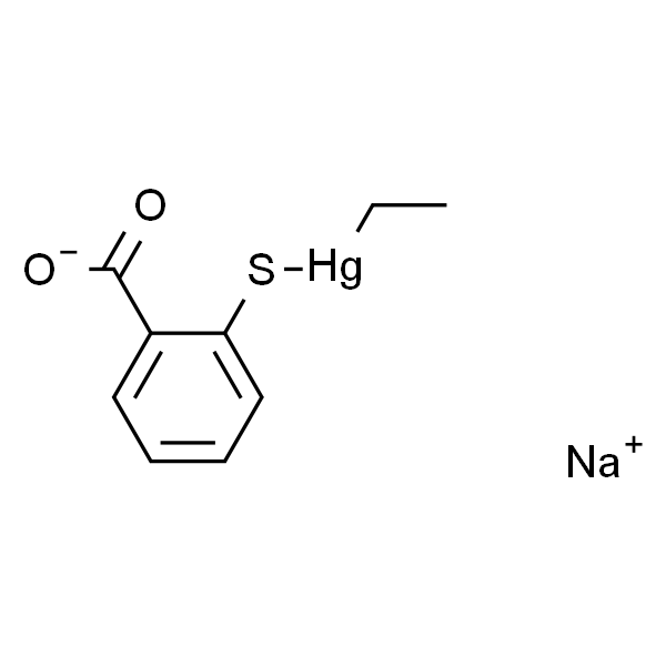
Thimerosal
CAS No.:
54-64-8
Molecular formula:
C9H9HGNAO2S
Molecular weight:
404.81
InChIKey:
RTKIYNMVFMVABJ-UHFFFAOYSA-L
InChI:
InChI=1S/C7H6O2S.C2H5.Hg.Na/c8-7(9)5-3-1-2-4-6(5)10;1-2;;/h1-4,10H,(H,8,9);1H2,2H3;;/q;;2*+1/p-2
Pubchem ID:

