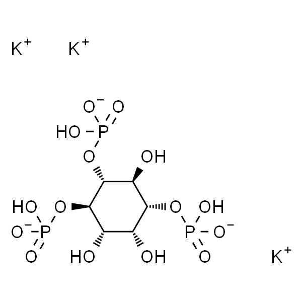
Name:
D-MYO-INOSITOL 1,4,5-TRIPHOSPHATE TRIPOTASSIUM SALT
CAS No.:
141611-11-2
Molecular formula:
C₆H₁₂K₃O₁₅P₃

