Guess you like
Name:
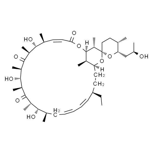
Oligomycin C
CAS No.:
11052-72-5
Molecular formula:
C₄₅H₇₄O₁₀
Molecular weight:
775.06

